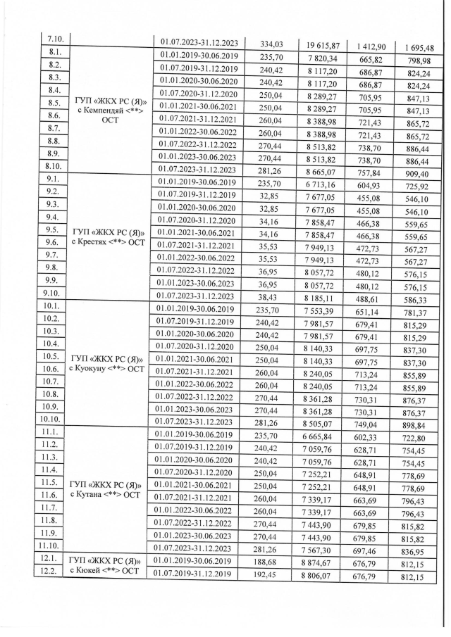
Постановление Государственного комитета по ценовой политике Республики Саха (Якутия) от 17.12.2018 № 177/1
"Об установлении тарифа на горячую воду (горячее водоснабжение) и теплоноситель, поставляемые теплоснабжающими организациями потребителям Республики Саха (Якутия) на 2019-2023 годы"
(Зарегистрирован 20.12.2018 № RU140202018106)
"Об установлении тарифа на горячую воду (горячее водоснабжение) и теплоноситель, поставляемые теплоснабжающими организациями потребителям Республики Саха (Якутия) на 2019-2023 годы"
(Зарегистрирован 20.12.2018 № RU140202018106)
Номер опубликования: 1401201812240008
Дата опубликования:
24.12.2018
