Официальное опубликование правовых актов
ОФИЦИАЛЬНОЕ ОПУБЛИКОВАНИЕ
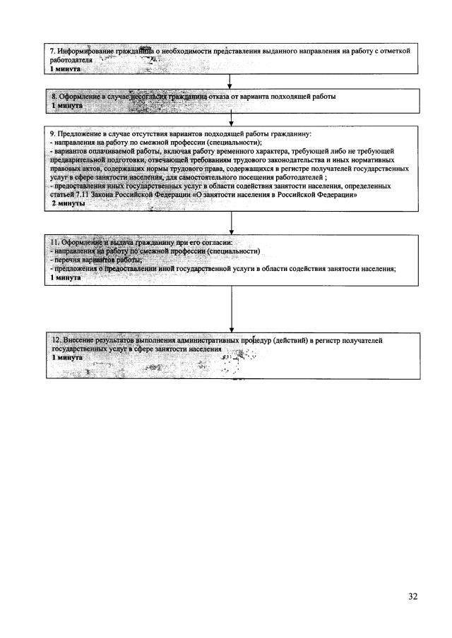
Приказ Государственного комитета Республики Саха (Якутия) по занятости населения от 31.08.2018 № ОД-217
"Об утверждении Административного регламента по предоставлению государственной услуги содействия гражданам в поиске подходящей работы, а работодателям в подборе необходимых работников"
(Зарегистрирован 11.09.2018 № RU140272018365)
Номер опубликования: 1401201809130002
Дата опубликования: 13.09.2018
Страница №33 из 46:
Увеличить