Официальное опубликование правовых актов
ОФИЦИАЛЬНОЕ ОПУБЛИКОВАНИЕ
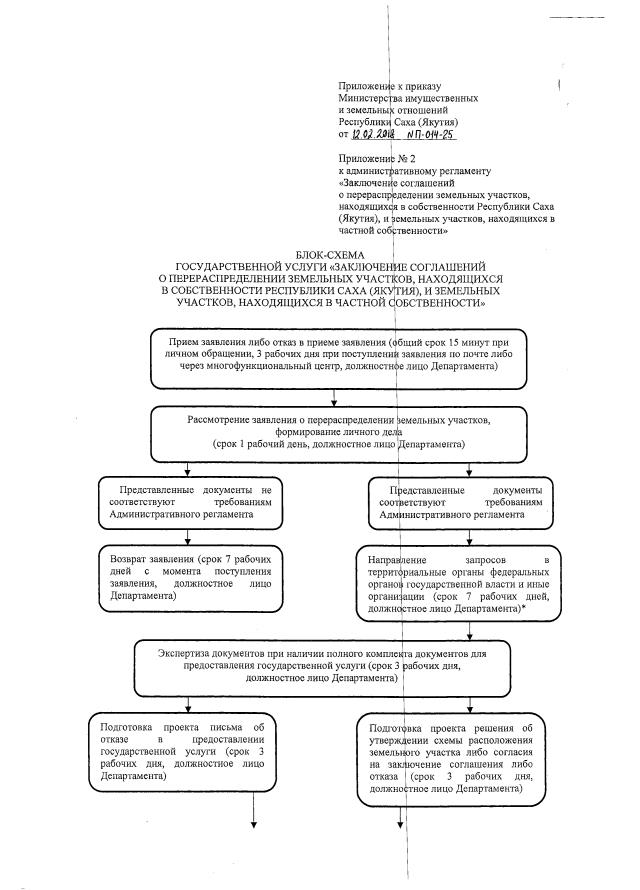
Приказ Министерства имущественных и земельных отношений Республики Саха (Якутия) от 12.02.2018 № П-014-25
"О внесении изменений в Административный регламент предоставления Министерством имущественных и земельных отношений Республики Саха (Якутия) государственной услуги "Заключение соглашений о перераспределении земельных участков, находящихся в собственности Республики Саха (Якутия), и земельных участков, находящихся в частной собственности", утвержденный приказом Министерства имущественных и земельных отношений Республики Саха (Якутия) от 5 августа 2015 г. № П-012-51"
(Зарегистрирован 28.02.2018 № RU14011201884)
Номер опубликования: 1401201803070008
Дата опубликования: 07.03.2018
Страница №4 из 5:
Увеличить