Официальное опубликование правовых актов
ОФИЦИАЛЬНОЕ ОПУБЛИКОВАНИЕ
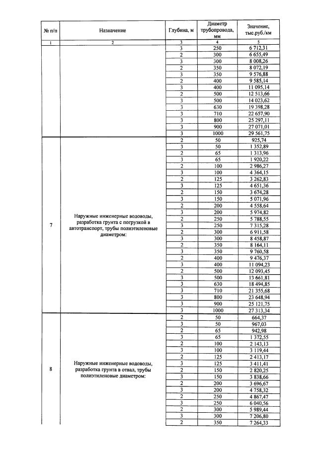
Постановление Государственного комитета по ценовой политике Республики Саха (Якутия) от 19.12.2017 № 686
"Об установлении ставок тарифов на подключение (технологическое присоединение) к централизованным системам холодного и горячего водоснабжения ООО "Ассоциация строителей АЯМ" на 2018 год"
(Зарегистрирован 21.12.2017 № RU140202017734)
Номер опубликования: 1401201712210008
Дата опубликования: 21.12.2017
Страница №6 из 9:
Увеличить