Официальное опубликование правовых актов
ОФИЦИАЛЬНОЕ ОПУБЛИКОВАНИЕ
Постановление Правительства Республики Саха (Якутия) от 31.07.2025 № 313
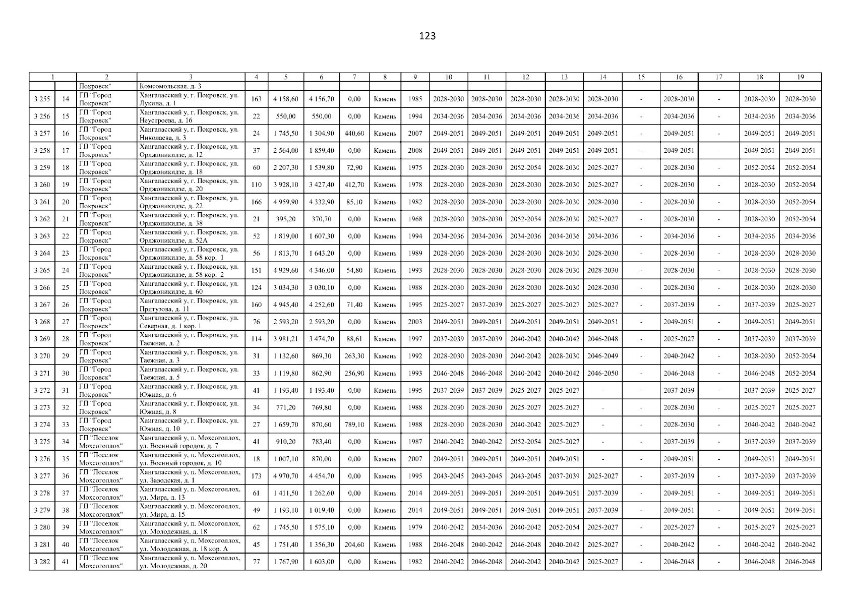
"О внесении изменений в региональную программу капитального ремонта общего имущества в многоквартирных домах, расположенных на территории Республики Саха (Якутия), утвержденную постановлением Правительства Республики Саха (Якутия) от 18 июля 2022 г. № 459"
Номер опубликования: 1400202508050006
Дата опубликования: 05.08.2025
Страница №124 из 128:
Увеличить