Официальное опубликование правовых актов
ОФИЦИАЛЬНОЕ ОПУБЛИКОВАНИЕ
Постановление Правительства Республики Саха (Якутия) от 25.12.2024 № 653
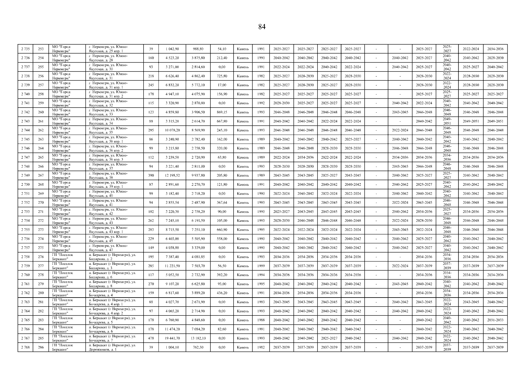
"О внесении изменений в региональную программу капитального ремонта общего имущества в многоквартирных домах, расположенных на территории Республики Саха (Якутия), утвержденную постановлением Правительства Республики Саха (Якутия) от 18 июля 2022 г. № 459"
Номер опубликования: 1400202412280006
Дата опубликования: 28.12.2024
Страница №85 из 105:
Увеличить