Официальное опубликование правовых актов
ОФИЦИАЛЬНОЕ ОПУБЛИКОВАНИЕ
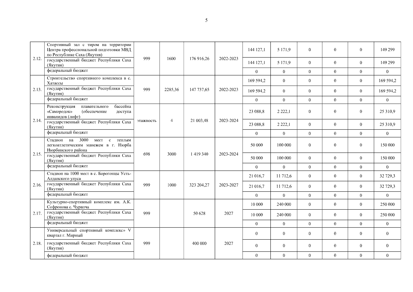
Постановление Правительства Республики Саха (Якутия) от 26.08.2024 № 398
"О внесении изменений в государственную программу Республики Саха (Якутия) "Развитие физической культуры и спорта в Республике Саха (Якутия)", утвержденную постановлением Правительства Республики Саха (Якутия) от 18 июля 2022 г. № 475"
Номер опубликования: 1400202408280014
Дата опубликования: 28.08.2024
Страница №25 из 50:
Увеличить