Официальное опубликование правовых актов
ОФИЦИАЛЬНОЕ ОПУБЛИКОВАНИЕ
Постановление Правительства Республики Саха (Якутия) от 02.08.2024 № 357
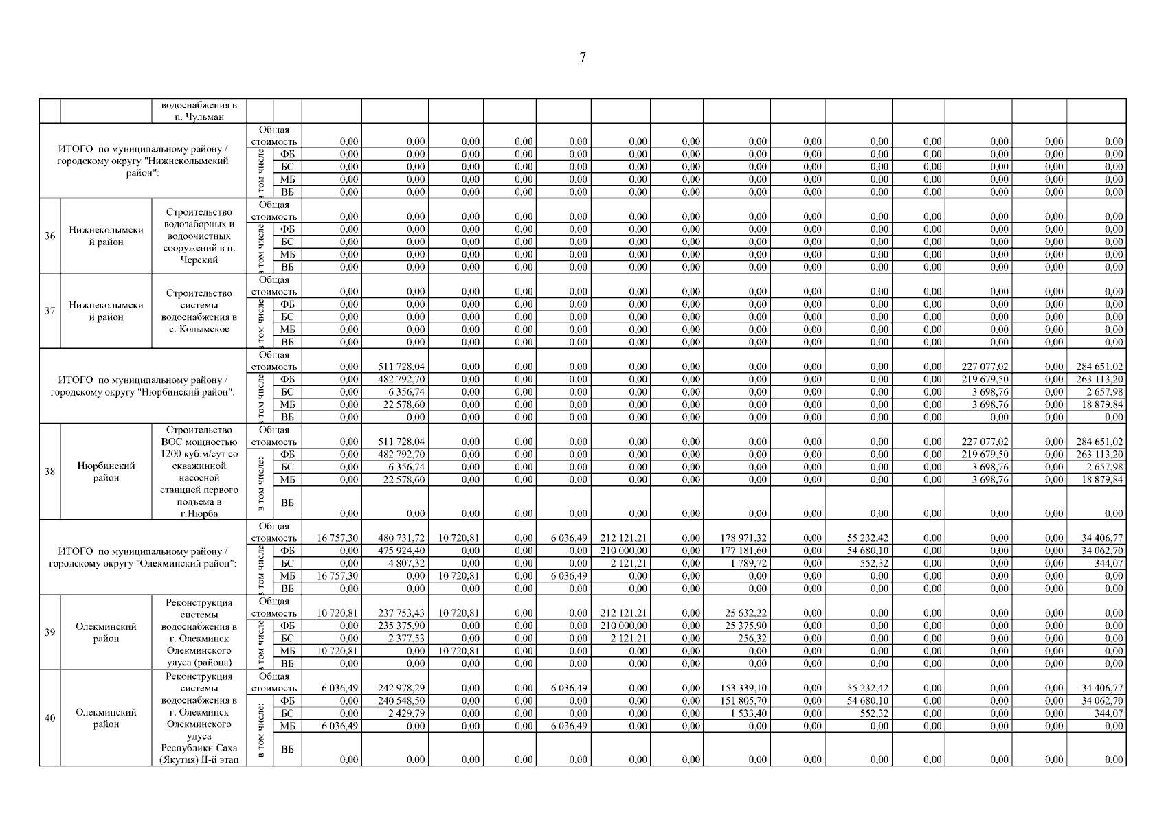
"О внесении изменений в региональную программу Республики Саха (Якутия) "Чистая вода" на 2019 – 2024 годы, утвержденную постановлением Правительства Республики Саха (Якутия) от 31 июля 2019 г. № 211"
Номер опубликования: 1400202408060005
Дата опубликования: 06.08.2024
Страница №41 из 77:
Увеличить