Официальное опубликование правовых актов
ОФИЦИАЛЬНОЕ ОПУБЛИКОВАНИЕ
Постановление Правительства Республики Саха (Якутия) от 25.07.2024 № 333
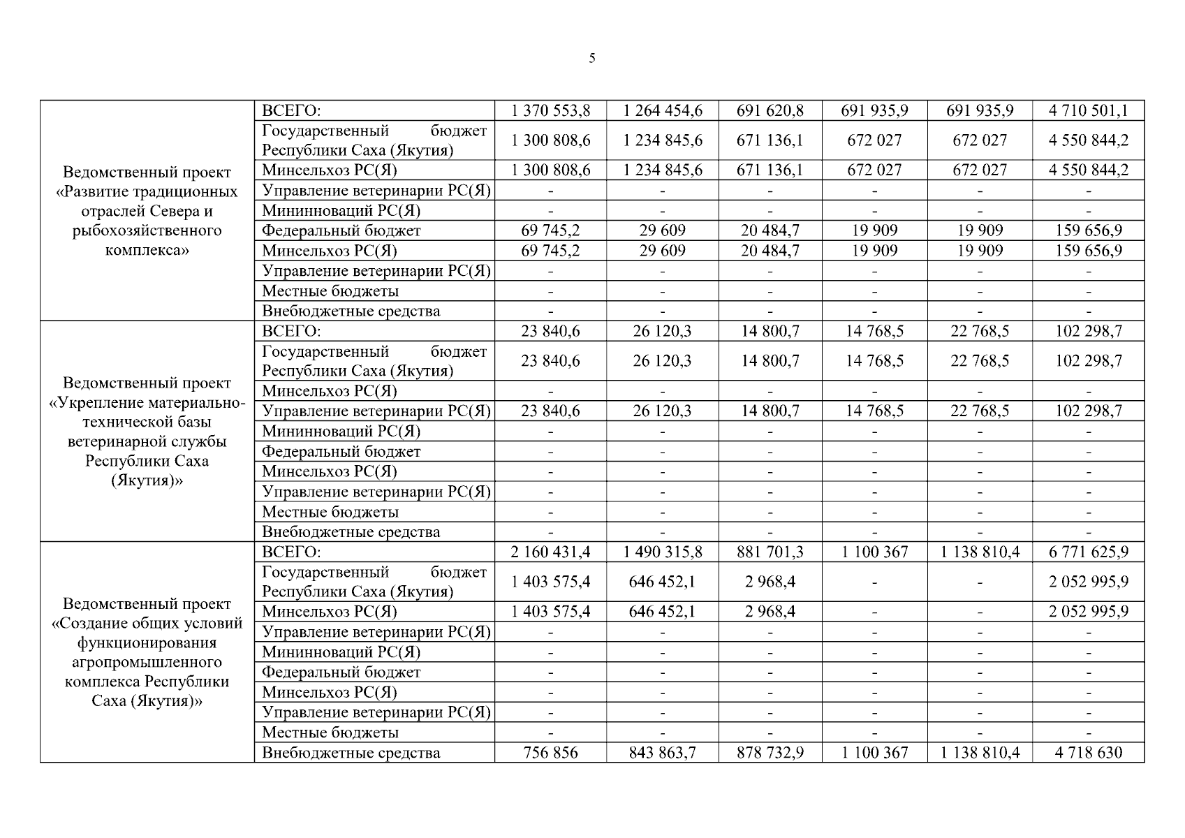
"О внесении изменений в государственную программу Республики Саха (Якутия) "Развитие сельского хозяйства и регулирование рынков сельскохозяйственной продукции, сырья и продовольствия", утвержденную постановлением Правительства Республики Саха (Якутия) от 18 июля 2022 г. № 447"
Номер опубликования: 1400202407300007
Дата опубликования: 30.07.2024
Страница №13 из 15:
Увеличить