Официальное опубликование правовых актов
ОФИЦИАЛЬНОЕ ОПУБЛИКОВАНИЕ
Постановление Правительства Республики Саха (Якутия) от 08.05.2024 № 173
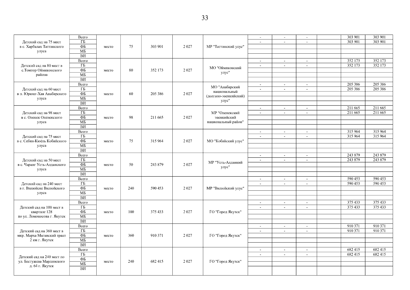
"О внесении изменений в государственную программу Республики Саха (Якутия) "Развитие образования Республики Саха (Якутия)", утвержденную постановлением Правительства Республики Саха (Якутия) от 18 июля 2022 г. № 474"
Номер опубликования: 1400202405130009
Дата опубликования: 13.05.2024
Страница №61 из 77:
Увеличить