Официальное опубликование правовых актов
ОФИЦИАЛЬНОЕ ОПУБЛИКОВАНИЕ
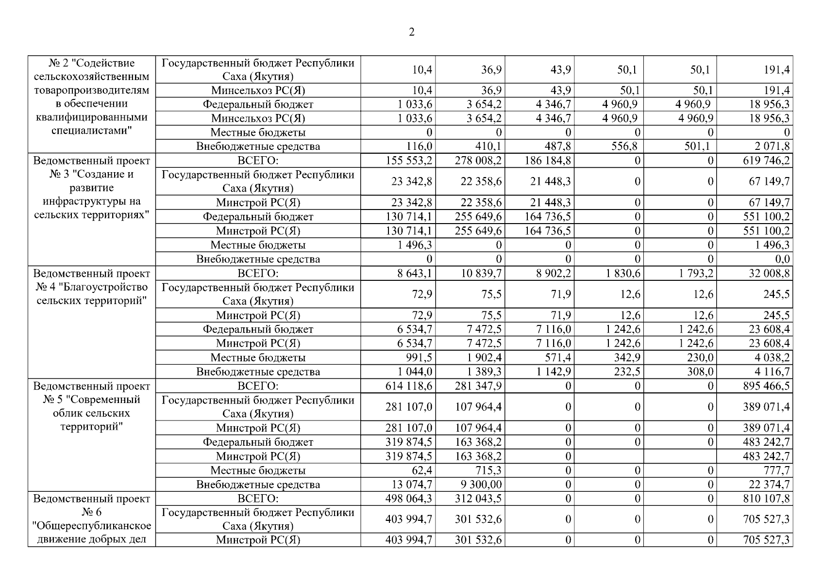
Постановление Правительства Республики Саха (Якутия) от 12.04.2024 № 118
"О внесении изменений в постановление Правительства Республики Саха (Якутия) от 18 июля 2022 г. № 433 "О государственной программе Республики Саха (Якутия) "Комплексное развитие сельских территорий"
Номер опубликования: 1400202404150008
Дата опубликования: 15.04.2024
Страница №29 из 47:
Увеличить