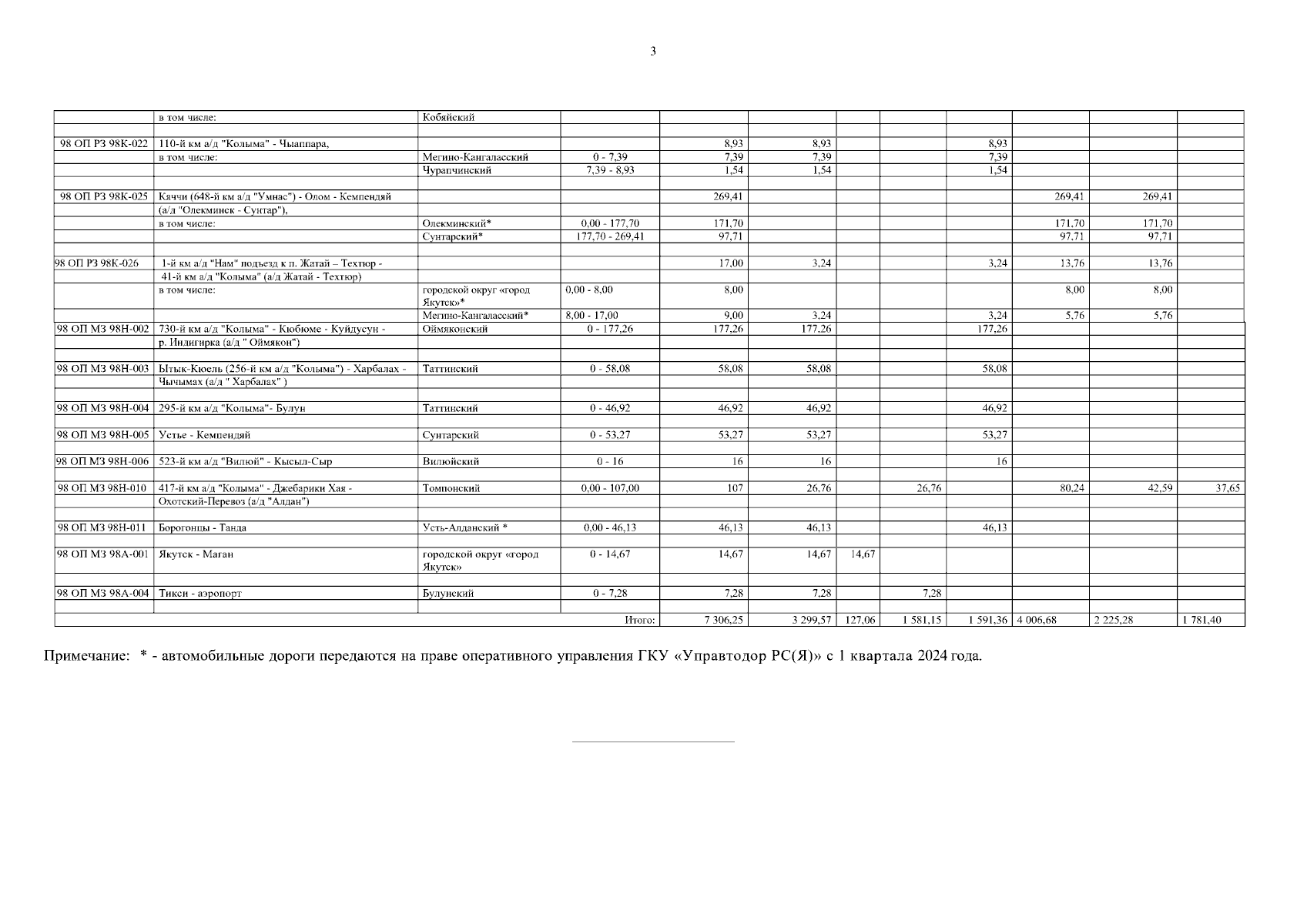
Постановление Правительства Республики Саха (Якутия) от 22.02.2024 № 63
"О внесении изменений в постановление Правительства Республики Саха (Якутия) от 27 марта 2010 г. № 146 "Об утверждении Перечня автомобильных дорог общего пользования регионального или межмуниципального значения Республики Саха (Якутия)"
"О внесении изменений в постановление Правительства Республики Саха (Якутия) от 27 марта 2010 г. № 146 "Об утверждении Перечня автомобильных дорог общего пользования регионального или межмуниципального значения Республики Саха (Якутия)"
Номер опубликования: 1400202402260002
Дата опубликования:
26.02.2024
