Официальное опубликование правовых актов
ОФИЦИАЛЬНОЕ ОПУБЛИКОВАНИЕ
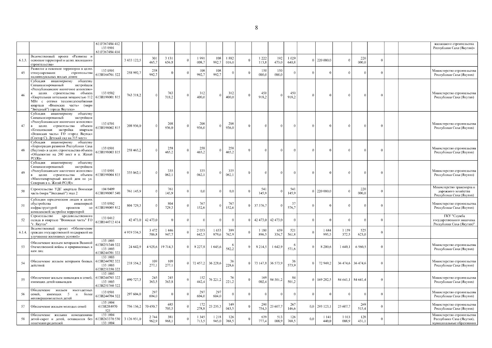
Постановление Правительства Республики Саха (Якутия) от 28.12.2023 № 644
"О внесении изменений в Инвестиционную программу Республики Саха (Якутия) на 2023 год и на плановый период 2024 и 2025 годов, утвержденную постановлением Правительства Республики Саха (Якутия) от 24 января 2023 г. № 26"
Номер опубликования: 1400202312290013
Дата опубликования: 29.12.2023
Страница №9 из 20:
Увеличить