Официальное опубликование правовых актов
ОФИЦИАЛЬНОЕ ОПУБЛИКОВАНИЕ
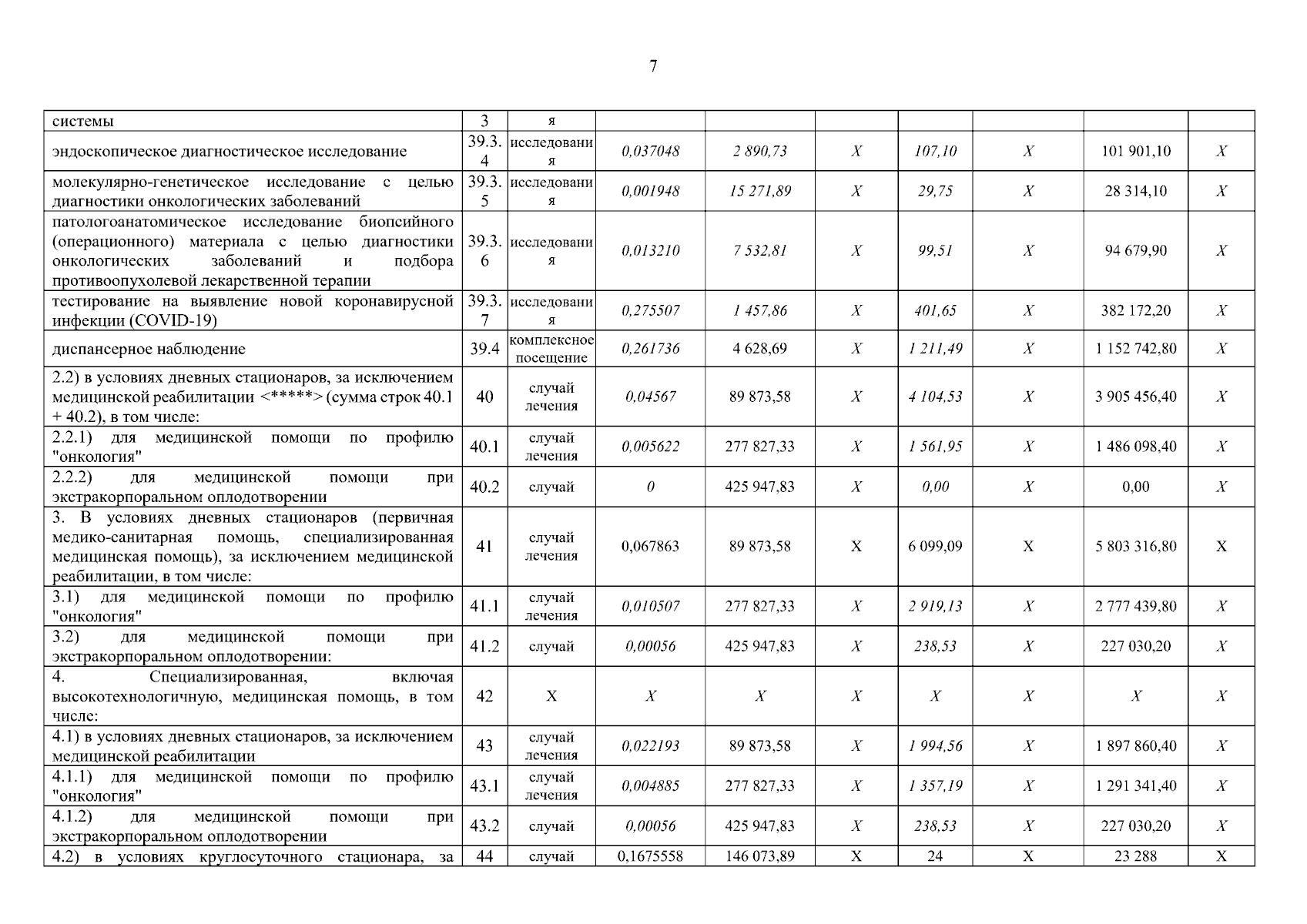
Постановление Правительства Республики Саха (Якутия) от 21.12.2023 № 621
"О внесении изменений в программу государственных гарантий бесплатного оказания гражданам медицинской помощи в Республике Саха (Якутия) на 2023 год и на плановый период 2024 и 2025 годов, утвержденную постановлением Правительства Республики Саха (Якутия) от 30 декабря 2022 г. № 845"
Номер опубликования: 1400202312260016
Дата опубликования: 26.12.2023
Страница №53 из 75:
Увеличить