Официальное опубликование правовых актов
ОФИЦИАЛЬНОЕ ОПУБЛИКОВАНИЕ
Постановление Правительства Республики Саха (Якутия) от 27.09.2023 № 492
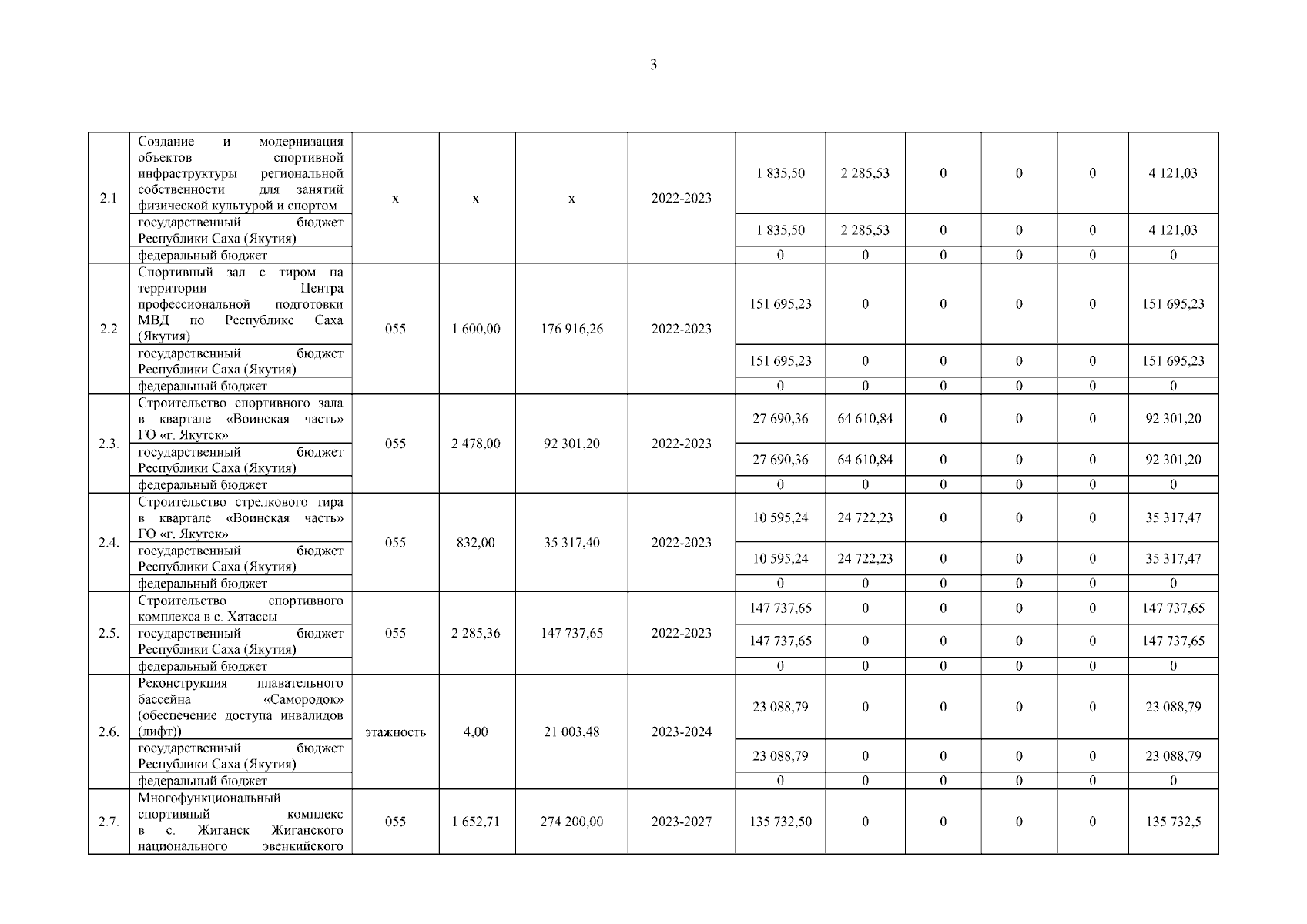
"О внесении изменений в государственную программу Республики Саха (Якутия) "Развитие физической культуры и спорта в Республике Саха (Якутия)", утвержденную постановлением Правительства Республики Саха (Якутия) от 18 июля 2022 г. № 475"
Номер опубликования: 1400202310020001
Дата опубликования: 02.10.2023
Страница №22 из 26:
Увеличить