Официальное опубликование правовых актов
ОФИЦИАЛЬНОЕ ОПУБЛИКОВАНИЕ
Постановление Правительства Республики Саха (Якутия) от 12.07.2023 № 337
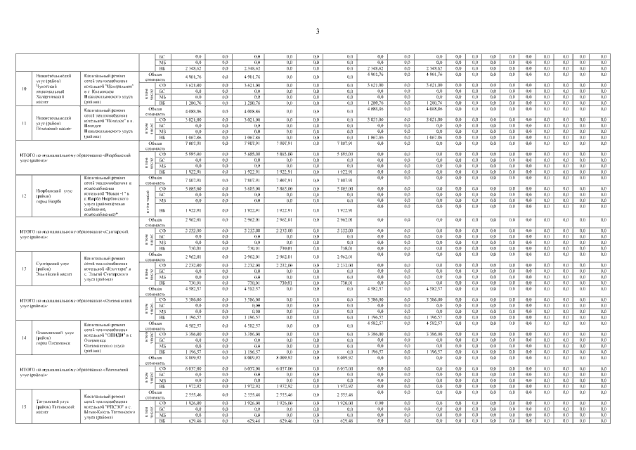
"О внесении изменений в программу по модернизации систем коммунальной инфраструктуры Республики Саха (Якутия) на период 2023-2027 годов, утвержденную постановлением Правительства Республики Саха (Якутия) от 19 января 2023 г. № 17"
Номер опубликования: 1400202307140007
Дата опубликования: 14.07.2023
Страница №32 из 49:
Увеличить