Официальное опубликование правовых актов
ОФИЦИАЛЬНОЕ ОПУБЛИКОВАНИЕ
Постановление Правительства Республики Саха (Якутия) от 17.05.2023 № 219
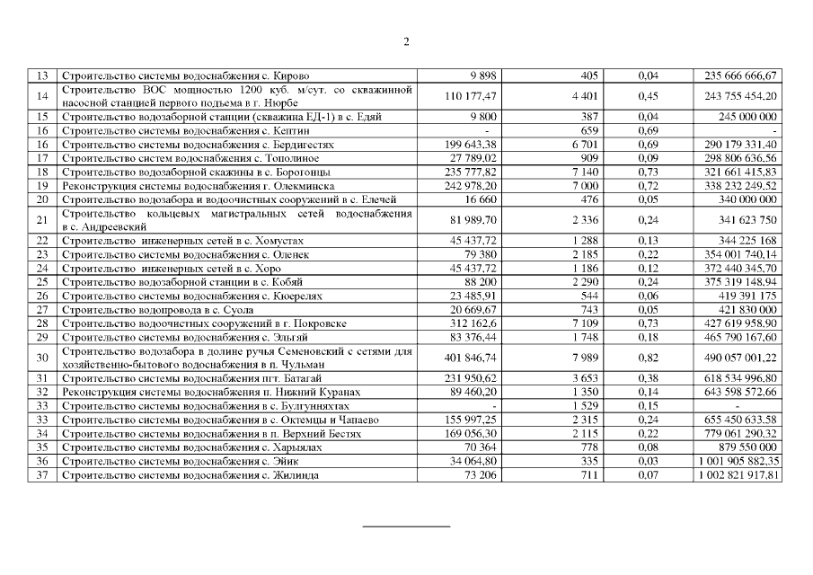
"О внесении изменений в постановление Правительства Республики Саха (Якутия) от 31 июля 2019 г. № 211 "Об утверждении региональной программы Республики Саха (Якутия) "Чистая вода" на 2019 - 2024 годы"
Номер опубликования: 1400202305230001
Дата опубликования: 23.05.2023
Страница №58 из 58:
Увеличить