Постановление Правительства Республики Саха (Якутия) от 03.05.2023 № 201
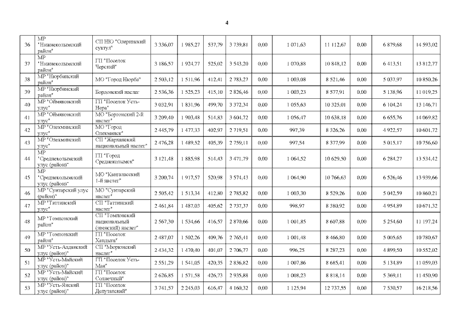
"О внесении изменений в постановление Правительства Республики Саха (Якутия) от 25 февраля 2021 г. № 33 "Об утверждении размеров предельной стоимости услуг и (или) работ по капитальному ремонту общего имущества в многоквартирных домах, расположенных на территории Республики Саха (Якутия), которая может оплачиваться региональным оператором за счет средств фонда капитального ремонта, сформированного исходя из минимального размера взноса на капитальный ремонт и о признании утратившими силу отдельных актов Правительства Республики Саха (Якутия)"
"О внесении изменений в постановление Правительства Республики Саха (Якутия) от 25 февраля 2021 г. № 33 "Об утверждении размеров предельной стоимости услуг и (или) работ по капитальному ремонту общего имущества в многоквартирных домах, расположенных на территории Республики Саха (Якутия), которая может оплачиваться региональным оператором за счет средств фонда капитального ремонта, сформированного исходя из минимального размера взноса на капитальный ремонт и о признании утратившими силу отдельных актов Правительства Республики Саха (Якутия)"
Номер опубликования: 1400202305100034
Дата опубликования:
10.05.2023
