Постановление Правительства Республики Саха (Якутия) от 14.12.2022 № 752
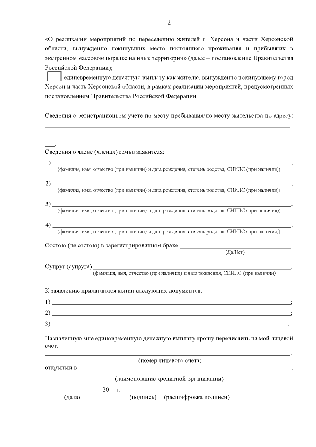
"О внесении изменений в постановление Правительства Республики Саха (Якутия) от 25 ноября 2022 г. № 712 "О предоставлении единовременной выплаты на обзаведение имуществом и социальной выплаты на приобретение жилых помещений жителям города Херсона и части Херсонской области, вынужденно покинувшим место постоянного проживания и прибывшим в экстренном массовом порядке в Республику Саха (Якутия) на постоянное место жительства"
"О внесении изменений в постановление Правительства Республики Саха (Якутия) от 25 ноября 2022 г. № 712 "О предоставлении единовременной выплаты на обзаведение имуществом и социальной выплаты на приобретение жилых помещений жителям города Херсона и части Херсонской области, вынужденно покинувшим место постоянного проживания и прибывшим в экстренном массовом порядке в Республику Саха (Якутия) на постоянное место жительства"
Номер опубликования: 1400202212200002
Дата опубликования:
20.12.2022
