Официальное опубликование правовых актов
ОФИЦИАЛЬНОЕ ОПУБЛИКОВАНИЕ
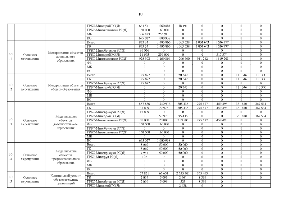
Постановление Правительства Республики Саха (Якутия) от 14.12.2022 № 751
"О внесении изменений в государственную программу Республики Саха (Якутия) "Развитие образования Республики Саха (Якутия) на 2020-2024 годы и на плановый период до 2026 года", утвержденную постановлением Правительства Республики Саха (Якутия) от 15 сентября 2021 г. № 353"
Номер опубликования: 1400202212160002
Дата опубликования: 16.12.2022
Страница №43 из 78:
Увеличить