Официальное опубликование правовых актов
ОФИЦИАЛЬНОЕ ОПУБЛИКОВАНИЕ
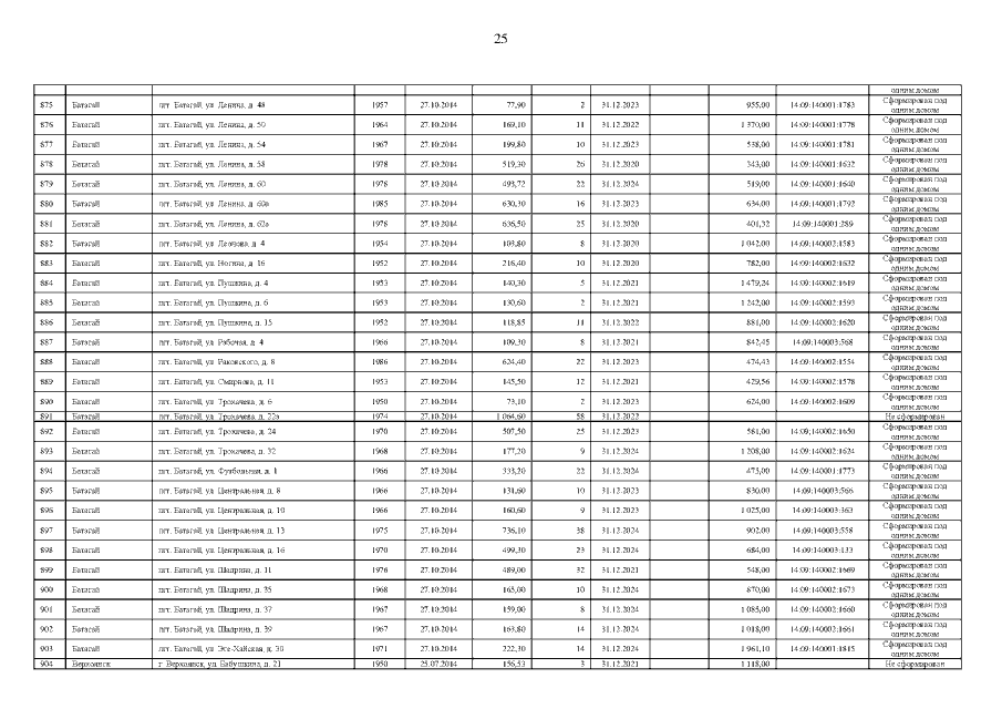
Постановление Правительства Республики Саха (Якутия) от 19.11.2022 № 684
"О внесении изменений в республиканскую адресную программу "Переселение граждан из аварийного жилищного фонда на 2019 - 2025 годы", утвержденную постановлением Правительства Республики Саха (Якутия) от 27 марта 2019 г. № 50"
Номер опубликования: 1400202211240001
Дата опубликования: 24.11.2022
Страница №28 из 150:
Увеличить