Официальное опубликование правовых актов
ОФИЦИАЛЬНОЕ ОПУБЛИКОВАНИЕ
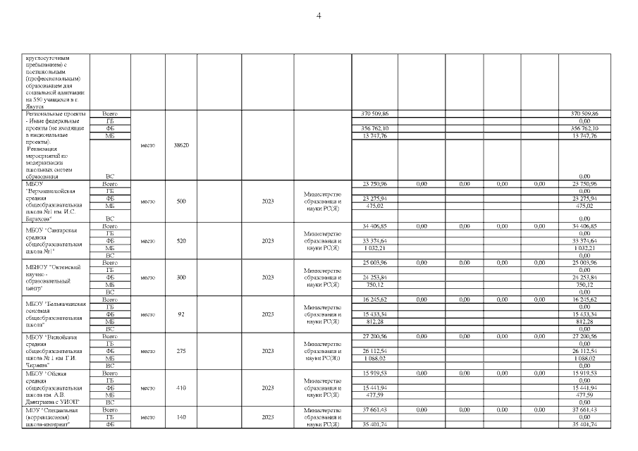
Постановление Правительства Республики Саха (Якутия) от 18.07.2022 № 474
"О государственной программе Республики Саха (Якутия) "Развитие образования Республики Саха (Якутия)"
Номер опубликования: 1400202207260001
Дата опубликования: 26.07.2022
Страница №81 из 239:
Увеличить