Официальное опубликование правовых актов
ОФИЦИАЛЬНОЕ ОПУБЛИКОВАНИЕ
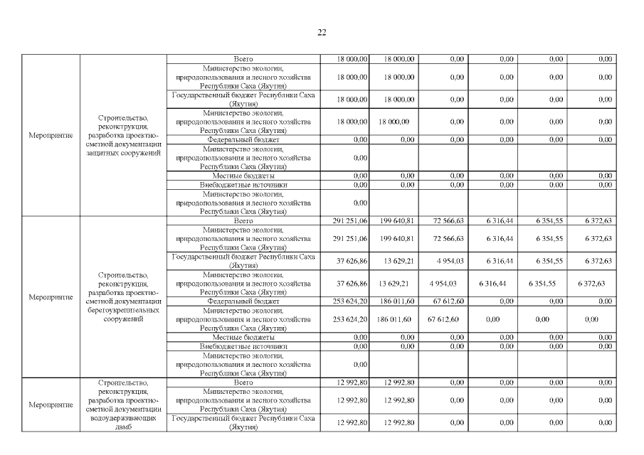
Постановление Правительства Республики Саха (Якутия) от 18.07.2022 № 442
"О государственной программе Республики Саха (Якутия) "Обеспечение экологической безопасности, рационального природопользования и развитие лесного хозяйства Республики Саха (Якутия)"
Номер опубликования: 1400202207220002
Дата опубликования: 22.07.2022
Страница №54 из 91:
Увеличить