Постановление Правительства Республики Саха (Якутия) от 23.06.2022 № 357
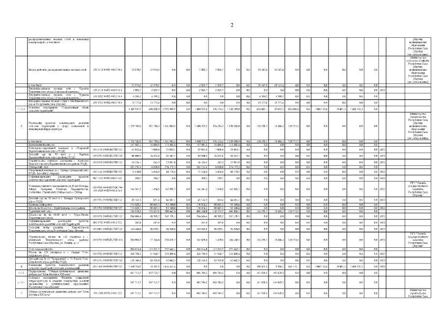
"О внесении изменений в Инвестиционную программу Республики Саха (Якутия) на 2022 год и на плановый период 2023 и 2024 годов, утвержденную постановлением Правительства Республики Саха (Якутия) от 15 февраля 2022 г. № 86"
"О внесении изменений в Инвестиционную программу Республики Саха (Якутия) на 2022 год и на плановый период 2023 и 2024 годов, утвержденную постановлением Правительства Республики Саха (Якутия) от 15 февраля 2022 г. № 86"
Номер опубликования: 1400202206280004
Дата опубликования:
28.06.2022
