Официальное опубликование правовых актов
ОФИЦИАЛЬНОЕ ОПУБЛИКОВАНИЕ
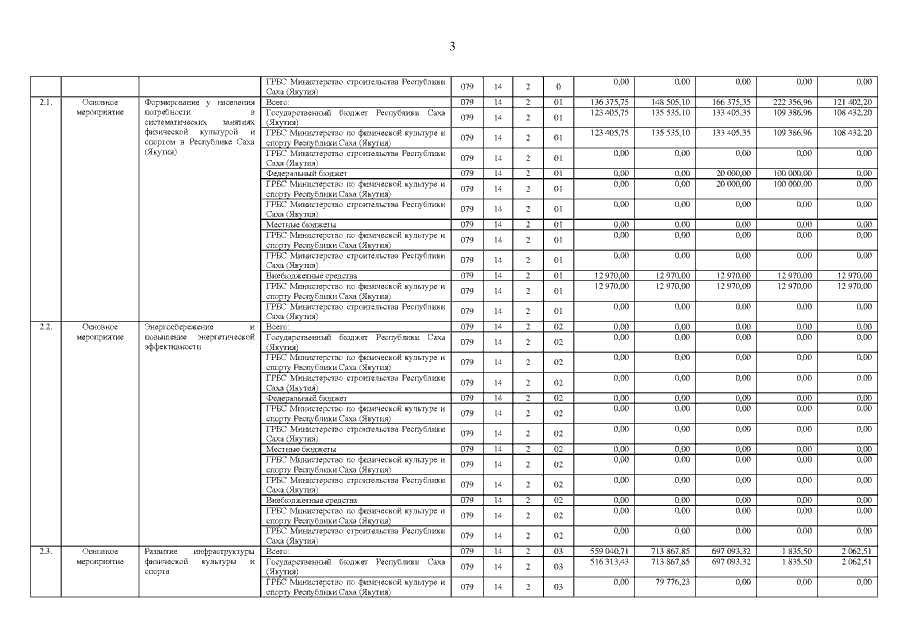
Постановление Правительства Республики Саха (Якутия) от 19.05.2022 № 285
"О внесении изменений в государственную программу Республики Саха (Якутия) "Развитие физической культуры и спорта в Республике Саха (Якутия) на 2020 – 2024 годы", утвержденную постановлением Правительства Республики Саха (Якутия) от 15 сентября 2021 г. № 364"
Номер опубликования: 1400202205230010
Дата опубликования: 23.05.2022
Страница №10 из 39:
Увеличить