Официальное опубликование правовых актов
ОФИЦИАЛЬНОЕ ОПУБЛИКОВАНИЕ
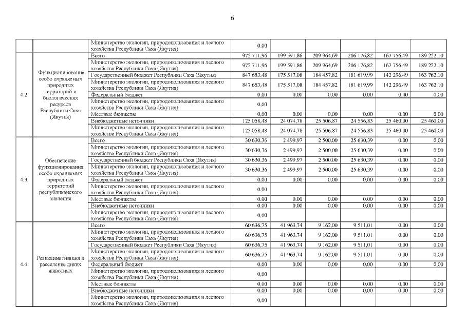
Постановление Правительства Республики Саха (Якутия) от 19.05.2022 № 293
"О внесении изменений в государственную программу Республики Саха (Якутия) "Обеспечение экологической безопасности, рационального природопользования и развитие лесного хозяйства Республики Саха (Якутия) на 2020-2024 годы", утвержденную постановлением Правительства Республики Саха (Якутия) от 15 сентября 2021 г. № 346"
Номер опубликования: 1400202205230005
Дата опубликования: 23.05.2022
Страница №16 из 27:
Увеличить