Официальное опубликование правовых актов
ОФИЦИАЛЬНОЕ ОПУБЛИКОВАНИЕ
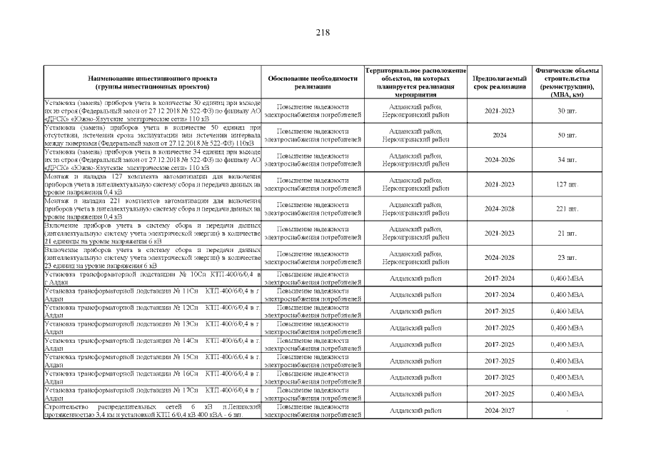
Указ Главы Республики Саха (Якутия) от 29.04.2022 № 2424
"О схеме и программе развития электроэнергетики Республики Саха (Якутия) на 2022-2026 годы"
Номер опубликования: 1400202205040007
Дата опубликования: 04.05.2022
Страница №218 из 227:
Увеличить