Официальное опубликование правовых актов
ОФИЦИАЛЬНОЕ ОПУБЛИКОВАНИЕ
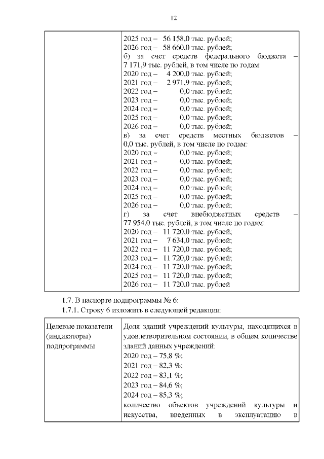
Постановление Правительства Республики Саха (Якутия) от 25.01.2022 № 37
"О внесении изменений в государственную программу Республики Саха (Якутия) "Развитие культуры в Республике Саха (Якутия) на 2020 – 2024 годы и на плановый период до 2026 года", утвержденную постановлением Правительства Республики Саха (Якутия) от 15 сентября 2021 г. № 361"
Номер опубликования: 1400202202010002
Дата опубликования: 01.02.2022
Страница №12 из 103:
Увеличить