Официальное опубликование правовых актов
ОФИЦИАЛЬНОЕ ОПУБЛИКОВАНИЕ
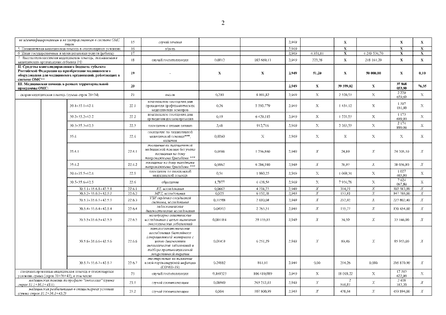
Постановление Правительства Республики Саха (Якутия) от 23.12.2021 № 556
"О внесении изменений в программу государственных гарантий бесплатного оказания гражданам медицинской помощи в Республике Саха (Якутия) на 2021 год и на плановый период 2022 и 2023 годов, утвержденную постановлением Правительства Республики Саха (Якутия) от 1 февраля 2021 г. № 12"
Номер опубликования: 1400202112280010
Дата опубликования: 28.12.2021
Страница №9 из 299:
Увеличить