Официальное опубликование правовых актов
ОФИЦИАЛЬНОЕ ОПУБЛИКОВАНИЕ
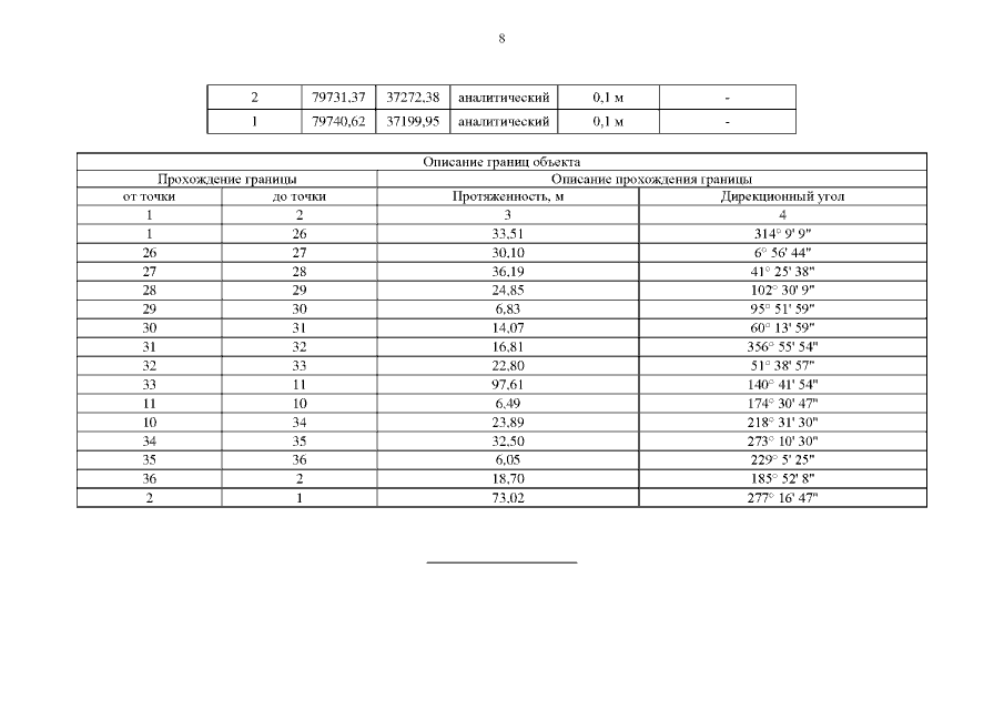
Постановление Правительства Республики Саха (Якутия) от 23.12.2021 № 564
"Об установлении зоны охраны объекта культурного наследия регионального значения "Дом казначейства (каменный), 1909 г. Арх. Браумгартон", расположенного по адресу: Республика Саха (Якутия), г. Якутск, ул. Петровского, 4, и утверждении особых режимов использования земель и требований к градостроительным регламентам в границах территорий данной зоны"
Номер опубликования: 1400202112280009
Дата опубликования: 28.12.2021
Страница №10 из 14:
Увеличить