Официальное опубликование правовых актов
ОФИЦИАЛЬНОЕ ОПУБЛИКОВАНИЕ
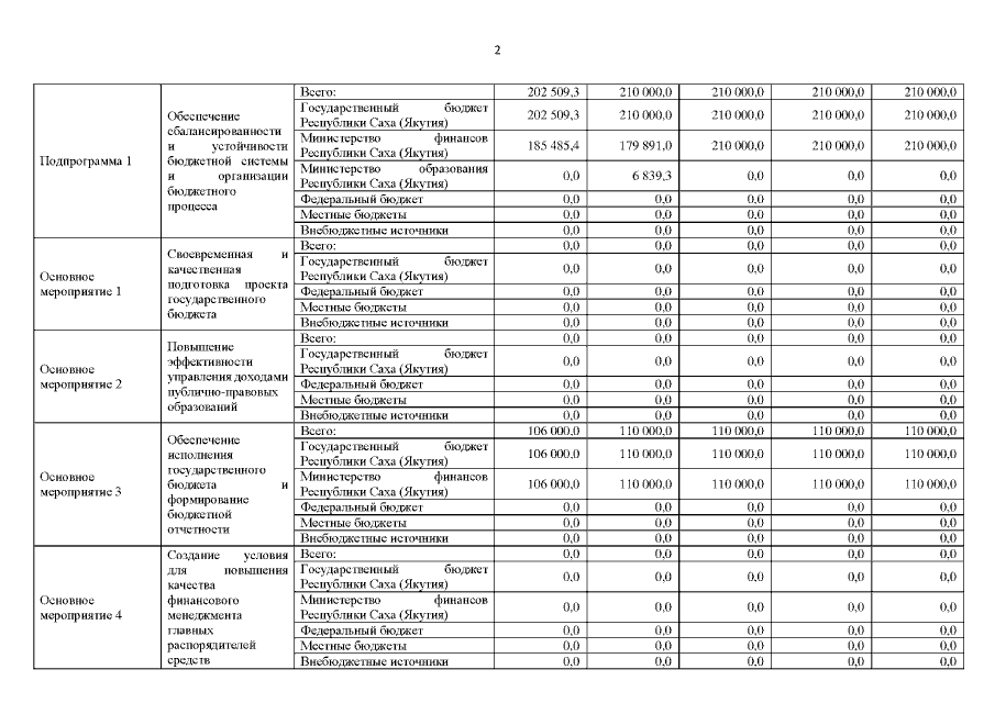
Постановление Правительства Республики Саха (Якутия) от 23.12.2021 № 547
"О внесении изменений в государственную программу Республики Саха (Якутия) "Управление государственными финансами и государственным долгом", утвержденную постановлением Правительства Республики Саха (Якутия) от 15 сентября 2021 г. № 338"
Номер опубликования: 1400202112280001
Дата опубликования: 28.12.2021
Страница №12 из 15:
Увеличить