Официальное опубликование правовых актов
ОФИЦИАЛЬНОЕ ОПУБЛИКОВАНИЕ
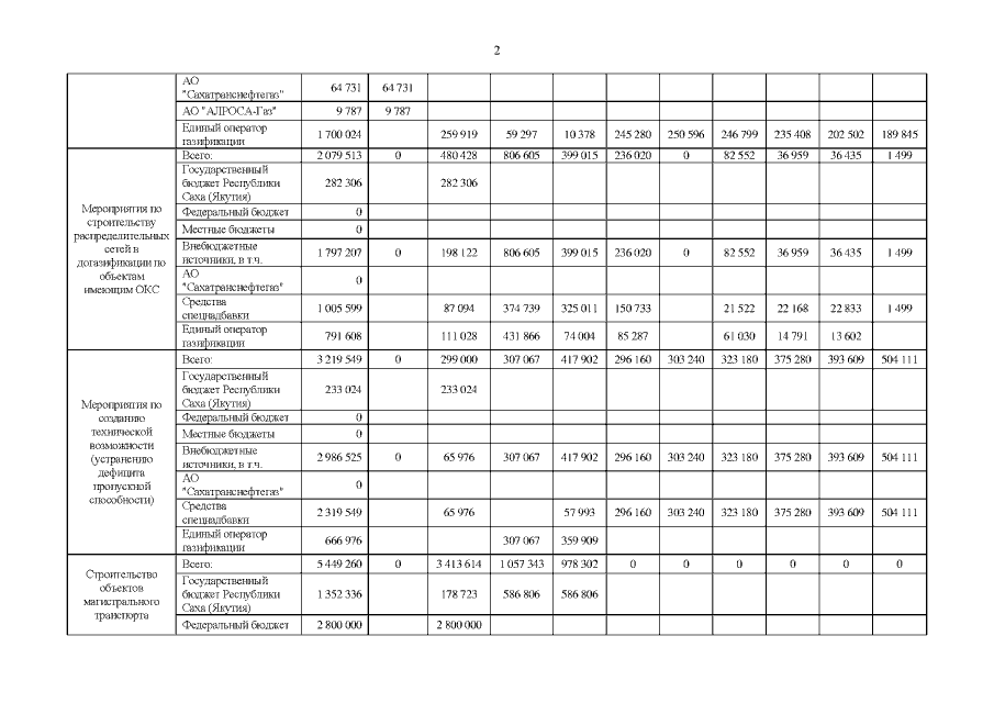
Распоряжение Правительства Республики Саха (Якутия) от 22.12.2021 № 1322-р
"Об утверждении региональной программы социальной газификации населенных пунктов Республики Саха (Якутия) на 2021 – 2030 годы"
Номер опубликования: 1400202112270002
Дата опубликования: 27.12.2021
Страница №24 из 119:
Увеличить