Официальное опубликование правовых актов
ОФИЦИАЛЬНОЕ ОПУБЛИКОВАНИЕ
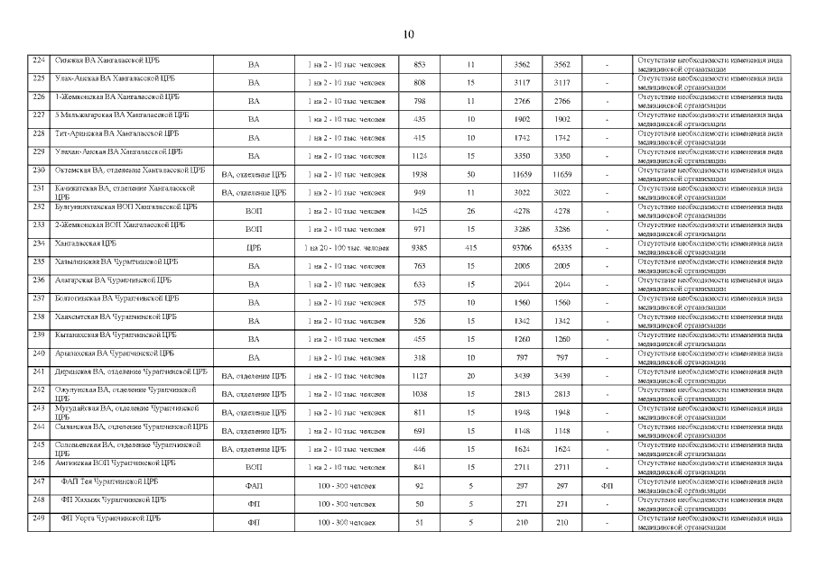
Постановление Правительства Республики Саха (Якутия) от 20.12.2021 № 528
"О региональной программе "Модернизация первичного звена здравоохранения Республики Саха (Якутия) на 2021 - 2025 годы"
Номер опубликования: 1400202112270001
Дата опубликования: 27.12.2021
Страница №81 из 279:
Увеличить