Указ Главы Республики Саха (Якутия) от 18.11.2021 № 2157
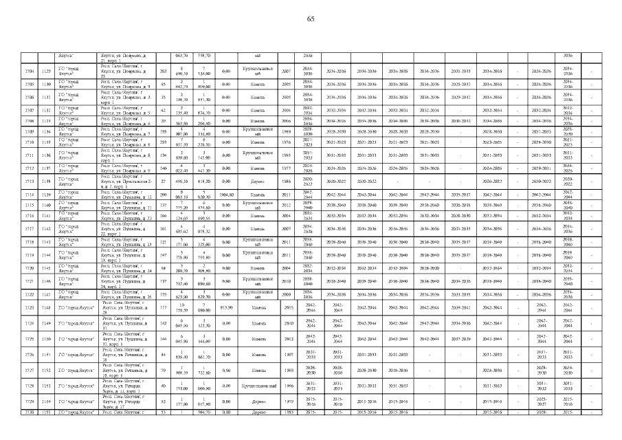
"О внесении изменений в региональную программу капитального ремонта общего имущества в многоквартирных домах, расположенных на территории Республики Саха (Якутия), утвержденную Указом Президента Республики Саха (Якутия) от 30 декабря 2013 г. № 2433"
"О внесении изменений в региональную программу капитального ремонта общего имущества в многоквартирных домах, расположенных на территории Республики Саха (Якутия), утвержденную Указом Президента Республики Саха (Якутия) от 30 декабря 2013 г. № 2433"
Номер опубликования: 1400202111220002
Дата опубликования:
22.11.2021
