Официальное опубликование правовых актов
ОФИЦИАЛЬНОЕ ОПУБЛИКОВАНИЕ
Указ Главы Республики Саха (Якутия) от 18.11.2021 № 2157
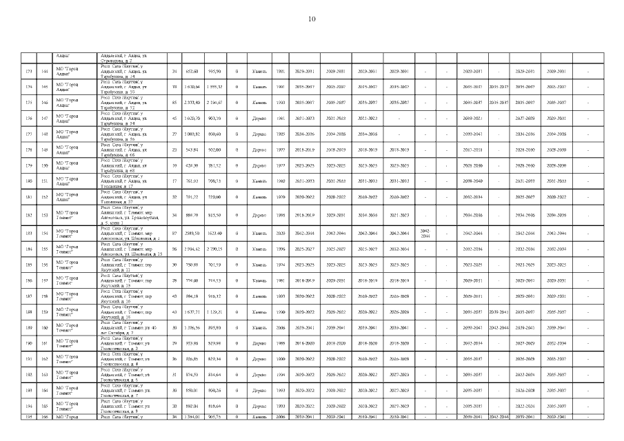
"О внесении изменений в региональную программу капитального ремонта общего имущества в многоквартирных домах, расположенных на территории Республики Саха (Якутия), утвержденную Указом Президента Республики Саха (Якутия) от 30 декабря 2013 г. № 2433"
Номер опубликования: 1400202111220002
Дата опубликования: 22.11.2021
Страница №10 из 155:
Увеличить