Официальное опубликование правовых актов
ОФИЦИАЛЬНОЕ ОПУБЛИКОВАНИЕ
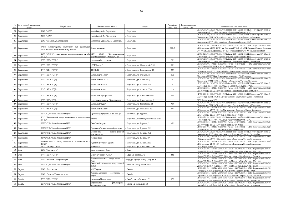
Распоряжение Главы Республики Саха (Якутия) от 28.06.2021 № 287-РГ
"Об утверждении перечня потребителей электрической энергии (мощности), относящихся к категориям потребителей электрической энергии (мощности), ограничение режима потребления электрической энергии которых может привести к экономическим, экологическим и социальным последствиям в Республике Саха (Якутия)"
Номер опубликования: 1400202107010004
Дата опубликования: 01.07.2021
Страница №140 из 182:
Увеличить