Официальное опубликование правовых актов
ОФИЦИАЛЬНОЕ ОПУБЛИКОВАНИЕ
Постановление Правительства Республики Саха (Якутия) от 25.01.2021 № 7
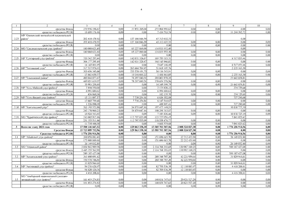
"О внесении изменений в республиканскую адресную программу "Переселение граждан из аварийного жилищного фонда на 2019-2025 годы", утвержденную постановлением Правительства Республики Саха (Якутия) от 27 марта 2019 г. № 50"
Номер опубликования: 1400202102020001
Дата опубликования: 02.02.2021
Страница №74 из 83:
Увеличить