Официальное опубликование правовых актов
ОФИЦИАЛЬНОЕ ОПУБЛИКОВАНИЕ
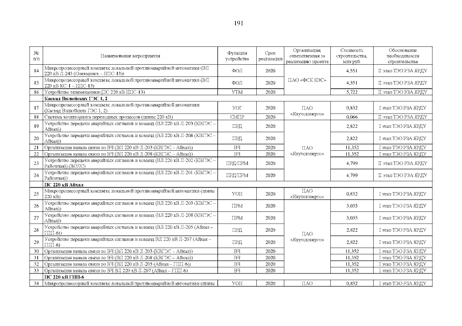
Указ Главы Республики Саха (Якутия) от 30.04.2020 № 1171
"О схеме и программе развития электроэнергетики Республики Саха (Якутия) на 2020 - 2024 годы"
Номер опубликования: 1400202005070002
Дата опубликования: 07.05.2020
Страница №192 из 210:
Увеличить