Официальное опубликование правовых актов
ОФИЦИАЛЬНОЕ ОПУБЛИКОВАНИЕ
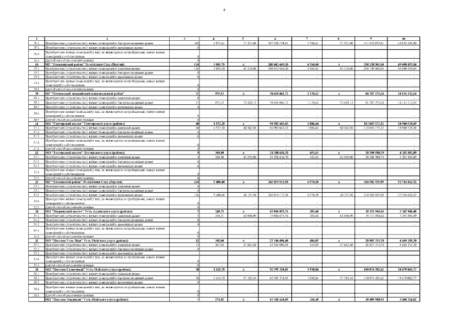
Постановление Правительства Республики Саха (Якутия) от 27.03.2020 № 60
"О внесении изменений в республиканскую адресную программу "Переселение граждан из аварийного жилищного фонда на 2013-2018 годы, в том числе с учетом необходимости развития малоэтажного жилищного строительства", утвержденную постановлением Правительства Республики Саха (Якутия) от 11 июня 2013 г. № 193"
Номер опубликования: 1400202003310001
Дата опубликования: 31.03.2020
Страница №9 из 65:
Увеличить