Официальное опубликование правовых актов
ОФИЦИАЛЬНОЕ ОПУБЛИКОВАНИЕ
Постановление Правительства Республики Саха (Якутия) от 26.09.2019 № 279
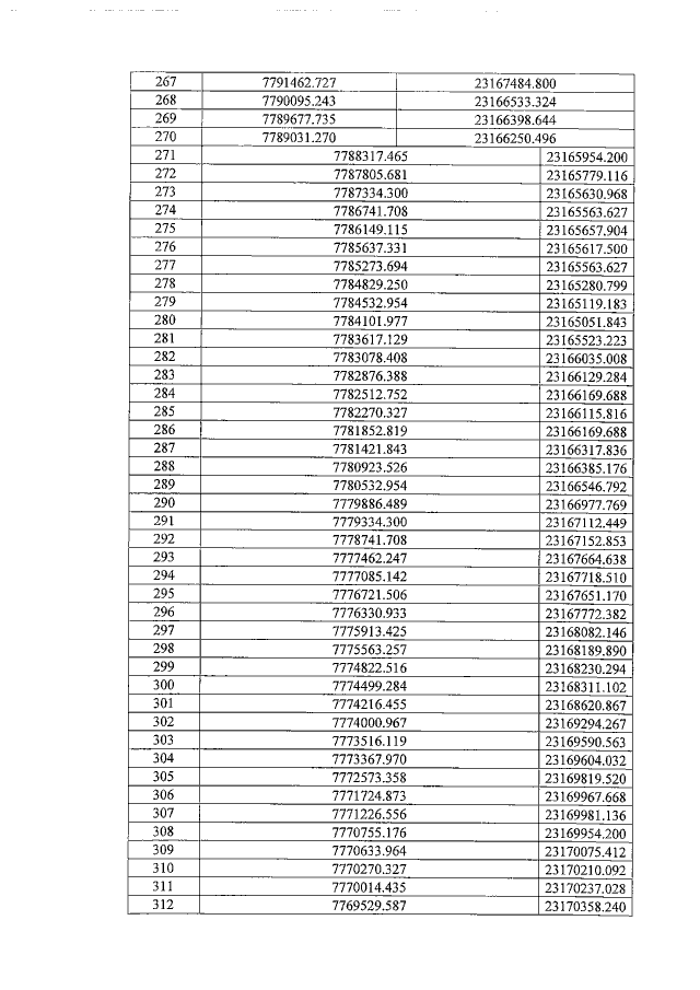
"О внесении изменений в постановление Правительства Республики Саха (Якутия) от 06 марта 1996 г. № 95 "Об организации ресурсных резерватов “Кэнкэмэ” в Якутском, “Омолой” в Усть-Янском, “Харбайы” в Намском, “Бэс-Кюель” в Горном, “Сунтар-Хаята” в Томпонском, “Озеро Ожогино” в административных границах Абыйского и Аллаиховского, “Суторуоха” в Абыйском, “Кэлэ” в Кобяйском улусах"
Номер опубликования: 1400201910030009
Дата опубликования: 03.10.2019
Страница №121 из 162:
Увеличить