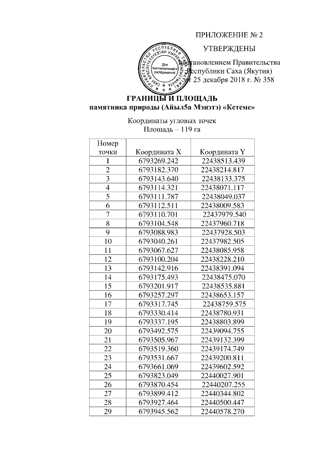
Постановление Правительства Республики Саха (Якутия) от 25.12.2018 № 358
"О создании особо охраняемых природных территорий республиканского значения – памятников природы (Айыл5а Мэнэлэрэ) "Бачык", "Кетеме", "Еланка" в Хангаласском улусе и "Титириктях" в Олекминском районе Республики Саха (Якутия)"
"О создании особо охраняемых природных территорий республиканского значения – памятников природы (Айыл5а Мэнэлэрэ) "Бачык", "Кетеме", "Еланка" в Хангаласском улусе и "Титириктях" в Олекминском районе Республики Саха (Якутия)"
Номер опубликования: 1400201812290007
Дата опубликования:
29.12.2018
