Официальное опубликование правовых актов
ОФИЦИАЛЬНОЕ ОПУБЛИКОВАНИЕ
Постановление Правительства Республики Саха (Якутия) от 26.05.2017 № 180
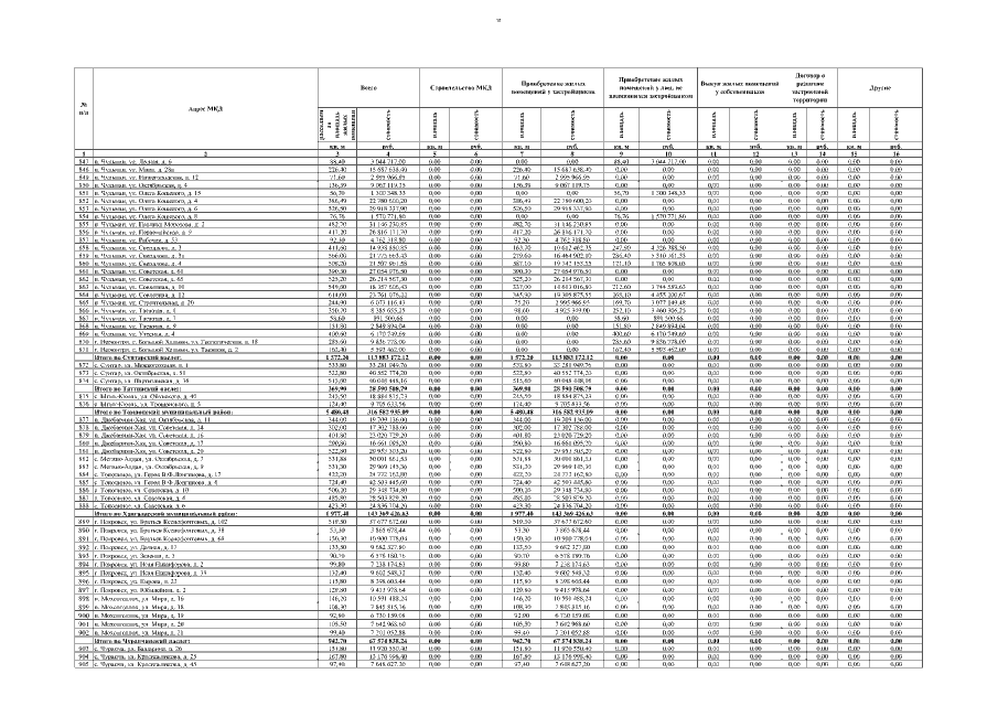
"О внесении изменений в постановление Правительства Республики Саха (Якутия) от 11 июня 2013 г. № 193 "О республиканской адресной программе "Переселение граждан из аварийного жилищного фонда на 2013 – 2017 годы, в том числе с учетом необходимости развития малоэтажного жилищного строительства"
Номер опубликования: 1400201705290002
Дата опубликования: 29.05.2017
Страница №51 из 61:
Увеличить