Официальное опубликование правовых актов
ОФИЦИАЛЬНОЕ ОПУБЛИКОВАНИЕ
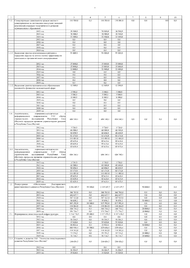
Указ Главы Республики Саха (Якутия) от 12.05.2017 № 1875
"О внесении изменений в Указ Президента Республики Саха (Якутия) от 12 октября 2011 г. № 975 "О государственной программе Республики Саха (Якутия) “Региональная экономическая политика Республики Саха (Якутия) на 2012-2019 годы”"
Номер опубликования: 1400201705160016
Дата опубликования: 16.05.2017
Страница №56 из 75:
Увеличить