Официальное опубликование правовых актов
ОФИЦИАЛЬНОЕ ОПУБЛИКОВАНИЕ
Постановление Правительства Республики Саха (Якутия) от 16.12.2016 № 450
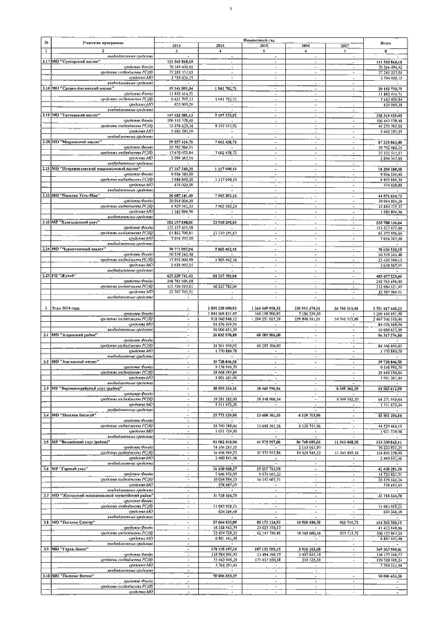
"О внесении изменений в постановление Правительства Республики Саха (Якутия) от 11 июня 2013 г. № 193 "О республиканской адресной программе "Переселение граждан из аварийного жилищного фонда на 2013 – 2017 годы"
Номер опубликования: 1400201612200008
Дата опубликования: 20.12.2016
Страница №54 из 114:
Увеличить