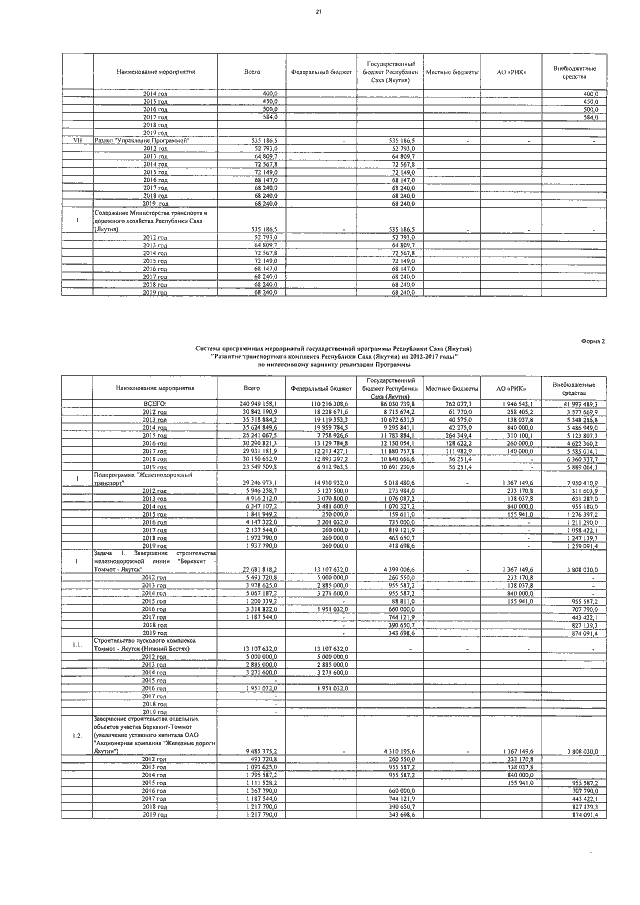
Указ Главы Республики Саха (Якутия) от 05.10.2016 № 1426
"О внесении изменений в Указ Президента Республики Саха (Якутия) от 12 октября 2011 г. № 974 "О государственной программе Республики Саха (Якутия) "Развитие транспортного комплекса Республики Саха (Якутия) на 2012-2019 годы"
"О внесении изменений в Указ Президента Республики Саха (Якутия) от 12 октября 2011 г. № 974 "О государственной программе Республики Саха (Якутия) "Развитие транспортного комплекса Республики Саха (Якутия) на 2012-2019 годы"
Номер опубликования: 1400201610110002
Дата опубликования:
11.10.2016
