Официальное опубликование правовых актов
ОФИЦИАЛЬНОЕ ОПУБЛИКОВАНИЕ
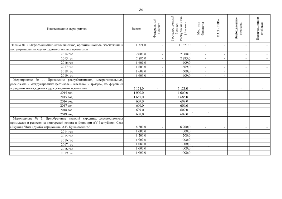
Указ Главы Республики Саха (Якутия) от 21.07.2016 № 1323 "О внесении изменений в Указ Президента Республики Саха (Якутия) от 12.10.2011 № 956 "О государственной программе Республики Саха (Якутия) “Создание условий для духовно-культурного развития народов Якутии на 2012 - 2019 годы”"
Номер опубликования: 1400201607250008
Дата опубликования: 25.07.2016
Страница №43 из 100:
Увеличить