Официальное опубликование правовых актов
ОФИЦИАЛЬНОЕ ОПУБЛИКОВАНИЕ
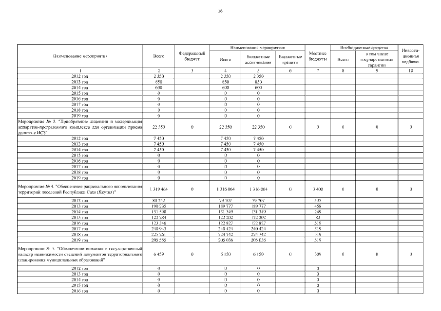
Указ Главы Республики Саха (Якутия) от 18.07.2016 № 1315 "О внесении изменений в государственную программу Республики Саха (Якутия) "Управление собственностью на 2012-2019 годы", утвержденную Указом Президента Республики Саха (Якутия) от 12 октября 2011 г. № 954"
Номер опубликования: 1400201607200004
Дата опубликования: 20.07.2016
Страница №32 из 40:
Увеличить