Официальное опубликование правовых актов
ОФИЦИАЛЬНОЕ ОПУБЛИКОВАНИЕ
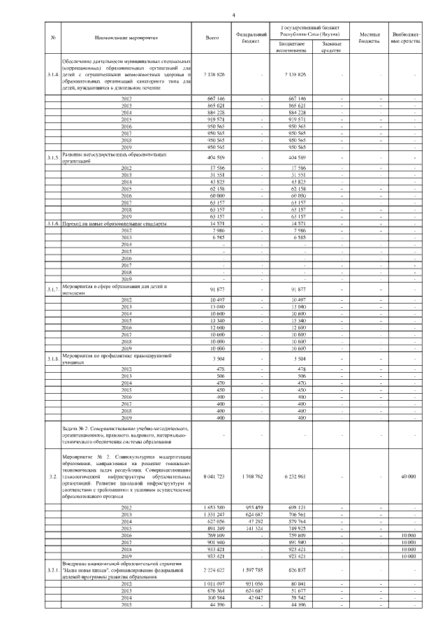
Указ Главы Республики Саха (Якутия) от 20.06.2016 № 1221 "О внесении изменений в Указ Президента Республики Саха (Якутия) от 12 октября 2011 г. № 973 "О государственной программе Республики Саха (Якутия) "Развитие образования Республики Саха (Якутия) на 2012-2019 годы"
Номер опубликования: 1400201606280001
Дата опубликования: 28.06.2016
Страница №34 из 121:
Увеличить