Официальное опубликование правовых актов
ОФИЦИАЛЬНОЕ ОПУБЛИКОВАНИЕ
Указ Главы Республики Саха (Якутия) от 28.03.2016 № 1032
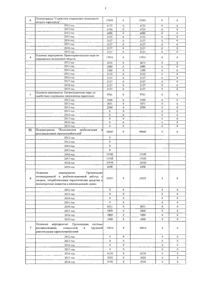
"О внесении изменений в Указ Президента Республики Саха (Якутия) от 12 октября 2011 г. № 965 "О государственной программе Республики Саха (Якутия) “Комплексные меры по реализации государственной антинаркотической политики в Республике Саха (Якутия) на 2012-2019 годы”"
Номер опубликования: 1400201603310020
Дата опубликования: 31.03.2016
Страница №8 из 46:
Увеличить