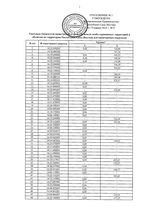
Постановление Правительства Республики Саха (Якутия) от 19.01.2016 № 9
"О кадастровой стоимости земельных участков в составе земель особо охраняемых территорий и объектов на территории Республики Саха (Якутия)"
"О кадастровой стоимости земельных участков в составе земель особо охраняемых территорий и объектов на территории Республики Саха (Якутия)"
Номер опубликования: 1400201601220005
Дата опубликования:
22.01.2016
